Cevilia (they/she/…)@lemmy.blahaj.zone to 196@lemmy.blahaj.zoneEnglish · edit-24 months agoFormula that produces floppy disk sizeslemmy.blahaj.zoneimagemessage-square9linkfedilinkarrow-up159arrow-down10file-text
arrow-up159arrow-down1imageFormula that produces floppy disk sizeslemmy.blahaj.zoneCevilia (they/she/…)@lemmy.blahaj.zone to 196@lemmy.blahaj.zoneEnglish · edit-24 months agomessage-square9linkfedilinkfile-text
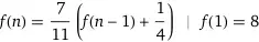
f(1) = 8 f(2) = 5.25 f(3) = 3.5 f(4) ≈ 2.4 f(5) ≈ 1.67 And going the other way f(n-1) = (11/7 f(n) - 1/4) we get laserdiscs? f(1) = 8 f(0) ≈ 12.32
minus-squaresubiprime@lemmy.blahaj.zonelinkfedilinkEnglisharrow-up3·4 months agoi got 121/176… too lazy to double check lol
minus-squaresubiprime@lemmy.blahaj.zonelinkfedilinkEnglisharrow-up5·4 months agoahh, i got two numbers mixed up, i got 7/16 this time
i got 121/176… too lazy to double check lol
ahh, i got two numbers mixed up, i got 7/16 this time